In a scathing letter, a top Navy legal official on Sunday expressed “grave ethical concerns” over revelations that government prosecutors used tracking software in emails to defense lawyers in ongoing cases involving two Navy SEALs in San Diego.
The letter, written by David G. Wilson, Chief of Staff of the Navy’s Defense Service Offices, requested a response by Tuesday from the Chief of the Navy’s regional law offices detailing exactly what type of software was used and what it could do, who authorized it, and what controls were put in place to limit its spread on government networks.
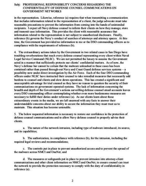
“As our clients learn about these extraordinary events in the media, we are left unarmed with any facts to answer their understandable concerns about our ability to secure the information they must trust us to maintain. This situation has become untenable,” Wilson wrote in the letter, which was obtained by Task & Purpose on Monday.
As part of Naval Legal Service Command, Wilson’s office oversees Navy attorneys who represent military members in court proceedings as their defense counsel. The letter was sent to his counterpart, which oversees Navy prosecutors.
Front and center for Wilson’s concerns is the Region Legal Service Office-Southwest at Naval Base San Diego, which is prosecuting the cases of Navy SEAL Chief Edward “Eddie” Gallagher on charges he murdered a wounded ISIS militant; and Navy SEAL Lt. Jacob Portier, Gallagher’s platoon leader, who has been accused of not properly reporting Gallagher’s alleged crimes.
Last week, Portier’s defense team claimed in court documents that it had received emails from the lead prosecutor, Navy Cmdr. Christopher Czaplak, with an image of a bald eagle atop the scales of justice in his signature block. That image “contained malware for the purpose of monitoring the defense,” Jeremiah Sullivan, a civilian attorney for Portier, wrote in an email to the judge, Navy Capt. Jonathan Stephens.
Similar emails were sent to an Air Force judge advocate general working on Portier’s defense team, members of the defense team for Gallagher, and Navy Times reporter Carl Prine.
“One of the e-mails was sent to the United States Air Force. As such, LtCol McCue has made appropriate notice to his Cyber Warfare branch,” Sullivan wrote. “I have made full disclosure to LT Portier who now requests to appear before the court and address issues regarding his Constitutional right to counsel.”
Wilson wrote in the letter that he was first notified on May 10 that the lead prosecutor in both cases had “inserted or caused to be inserted certain tracking software” into emails with the defense team, who opened the messages on both private, commercial, and military email networks.
“The Air Force counsel reports that his information security manager described the malware as a ‘splunk tool,’ allowing the originator full access to his computer and all files on his computer,” Wilson wrote.
“In fact, I’ve learned that the Air Force is treating this malware as a cyber-intrusion on their network and have seized the Air Force Individual Military Counsel’s computer and phone for review.”
Wilson went on to say the Portier and Gallagher defense teams had filed “appropriate motions” regarding the malicious software, adding that he would defer to the trial and appellate judicial process on whether such behavior from the prosecution was appropriate.
“However, in my capacity as the Chief of Staff, I have grave ethical concerns regarding the impact of the Government’s action for all services provided worldwide by the Defense Service Offices.”
He added: “The commanding officers of the 4 Defense Service Offices (DSO) and I have no confidence that our defense counsel attorney-client communications on [Navy-Marine Corps Intranet] and other Government-provided networks are protected from unauthorized disclosure as a result of this introduction of malware.”
The letter went on to mention rules for Navy judge advocates, State Bars, and the American Bar Association regarding their duty to “maintain client confidences.” At this time, Wilson wrote, “the Government has provided no information to me or the DSO commanding officers” on whether it is compliant with Navy rules regarding searches of attorneys and attorney spaces.
“The extraordinary actions” taken by the prosecutors in San Diego, Wilson wrote, have “troubling reverberations that reach every defense counsel representing every client” across the Navy. “As of now, the Navy’s defense bar cannot be certain that the malware unleashed in these cases has been contained.”
A spokeswoman for the Office of the Judge Advocate General of the Navy told Task & Purpose the use of what NCIS called an “audit capability” was a lawful step meant to limit the public release of documents in the case, which are currently under a protective order.
“Following continuing and ongoing violations of the judge’s protective order in the Gallagher case, NCIS initiated a separate investigation into violations of the judge’s protective order,” Navy spokeswoman Patty Babb said. “The initiation and execution of the investigation was conducted at the local level, and not a part of a broader Navy policy or strategy, and not an independent action by the prosecutor. The government is acting as part of a lawful, authorized, and legitimate investigation into the unauthorized disclosure of information associated with the case.”
Babb reiterated a previous statement from NCIS, asserting that what was sent in the email was “not a malware or a virus.” The tracker “does not reside on computer systems,” said Babb. “There is no risk that systems are corrupted or compromised.”
Meanwhile, defense attorneys for Gallagher will argue in a hearing on Wednesday to have both the lead prosecutor and the judge in the case, Capt. Aaron Rugh, removed over the email tracking issue, sources familiar with the matter said.
Wilson’s letter and motions for Portier and Gallagher come as President Donald Trump may be considering a pardon for Gallagher, according to The New York Times. A number of lawmakers have urged Trump to intervene in the case and have cast doubt on the military justice system more generally, amid other controversial war crimes cases in the special operations community.
Wilson’s letter seems an attempt to correct this negative perception. He called the Navy prosecutor’s alleged use of email tracking software against defense attorneys a “Pandora’s box” for the entire Navy-Marine Corps judiciary that could bring into question whether troops accused of crimes can trust they will receive a fair trial.
“I have great concerns that inaction will negatively impact the Judge Advocate General Corps’ reputation,” Wilson wrote, warning that “it will likely result in protracted litigation across our military justice system and effectively shut down good order and discipline proceedings across the Navy.”
Read the full letter below:


